欢迎访问本网站!
搜索
学校主页
Toggle navigation
首页
学校概况
学校简介
部门概况
新闻公告
就业新闻
就业公告
招聘信息
校内宣讲会
校外宣讲会
双选会
在线招聘
就业政策
就业指导
服务指南
学生办事流程
企业办事流程
常用下载
档案查询
联系我们
留言咨询
首页
>
新闻公告
>
就业公告
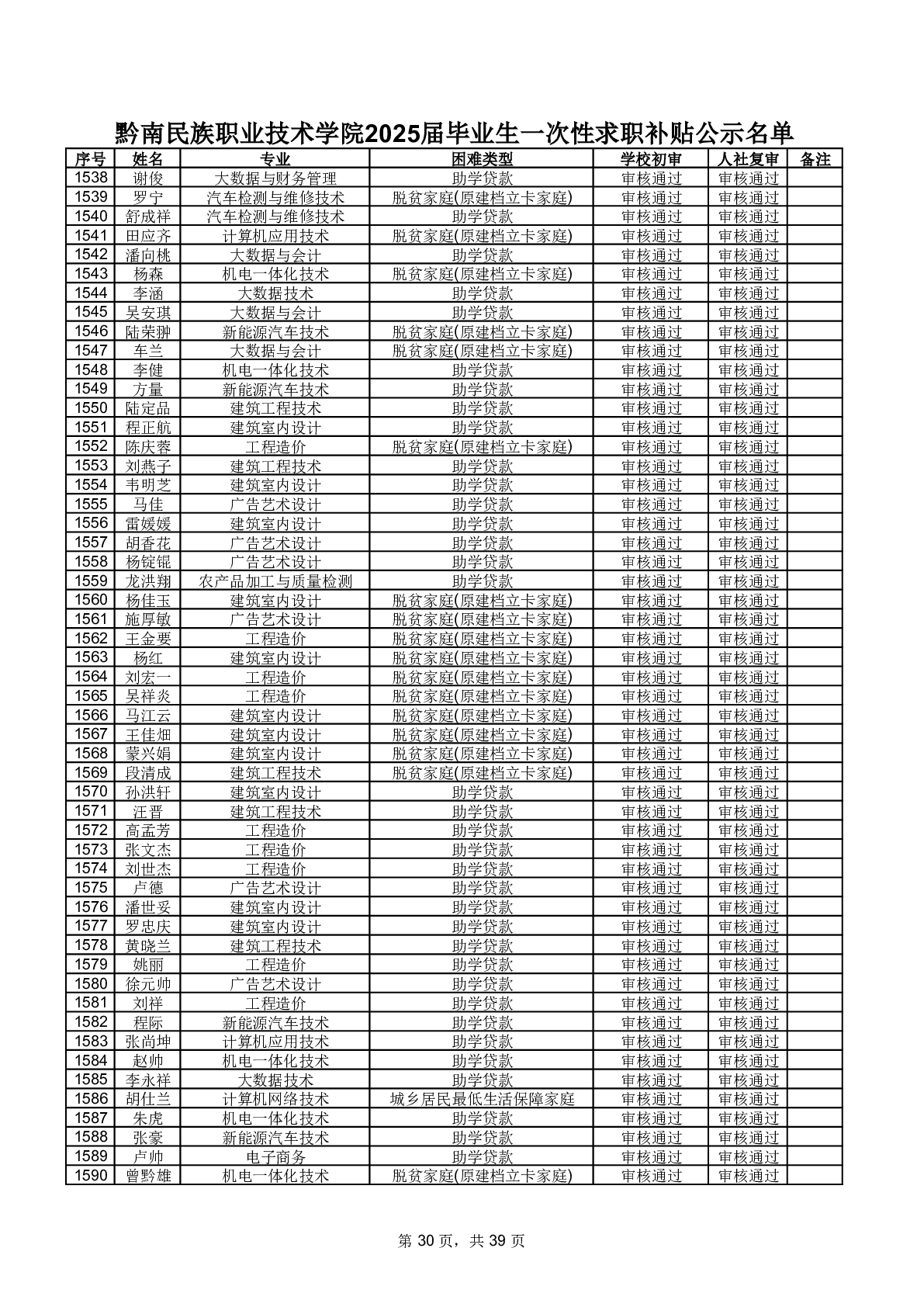
黔南民族职业技术学院2025届毕业生 一次性求职补贴申请审核通过公示
日期:2024-11-20 18:26:58 发布人:就业网 浏览量:
2531
操作>>
核发:就业网
点击数:2531
【
收藏本页
】
上一篇:
黔南职院2026届毕业生一次性求职补贴申请审核公示
下一篇:
黔南民族职业技术学院-2024年专场招聘宣讲会公告
分享到
相关链接